在熬夜这事上,男人真的比不过女人



说实话,在男女平等的问题上,历来颇多争议,女人总是觉得男人在社会竞争中因性别占尽优势。
但是,前几天看了一个有趣的实验, 在熬夜上,性别优势倾斜向女人。
研究是由日本癌症中心的Manami Inoue博士主导的,他
近日,日本国家癌症中心Manami Inoue博士领导的团队以东亚人群为样本,发现睡眠长度为7小时,与全因死亡、心血管疾病相关死亡、和其他原因死亡的风险最低相关。
值得注意的是,研究还建议针对东亚人群睡眠长度的指南,应考虑到性别和年龄的因素。比如,65岁以下的男性睡眠长度小于或等于5小时,与全因死亡风险增加34%相关;睡眠长度为6小时,与全因死亡风险增加7%相关。
又如,睡眠小于等于5小时,与女性相比,男性与心血管相关的死亡相关联的风险更高。男性睡眠小于等于5小时,与心血管相关的死亡相关联的风险增加35%。而女性对应增加的风险仅为24%。
这项成果发表在JAMA Network Open。


之前的前瞻性研究meta分析结果都显示,较短或较长的睡眠长度都与全因死亡相关联[2,3]。
尽管meta分析证据等级强,仍有局限性。例如,纳入meta的每项研究中,样本随访时间不同、考虑到的混杂因素不同,对睡眠较短或较长的定义有差异[4]。再者,睡眠长度与全因死亡的关联,可能受人种因素的影响,比起北美和欧洲人群,在东亚人群中,过长的睡眠长度与死亡有较强的关联[2]。
单项的研究也表明,随着性别、年龄的变化,睡眠长度和死亡的关联也会发生变化[5,6]。另外,在东亚人群中,体重指数(BMI)也和睡眠长度、心血管和癌症死亡相关联[7,8]。BMI可能是睡眠长度和死亡关联的一个潜在的混杂因素,或校正因素。目前还没有研究将健康人群进行BMI分层,研究睡眠长度和死亡的关联。
为了更清晰地了解东亚人的睡眠时长与全因死亡、重大疾病所致死亡的关联,Inoue团队发起了本研究。


来看看研究者是怎么做的吧。
这个研究最初纳入了450532位参与者,他们来自日本、中国、新加坡和韩国。经过筛选,最后纳入了322721位参与者。
研究的最重要暴露因素是参与者自我报告的睡眠长度。睡眠长度被分类为6组:5小时或更短, 6小时,7小时、8小时、9小时、10小时或更长。睡眠长度为7小时作为参照组。因为大部分之前的研究都将7小时作为参照,这样方便研究者的结果与其他研究结果比较。
总的来看,在搜集到的322721位参与者中,平均年龄为54.5岁,女性占比55.3%。对于男性,平均的随访时间为14年,合2022289人年。对于女性,平均的随访时间为13.4年,合2392037人年。在纳入的男性中,睡眠长度的众数(即出现频率最高的数字)为8小时;在纳入的女性中,睡眠长度的众数为7小时。


再来看看睡眠长度和全因死亡的关联。
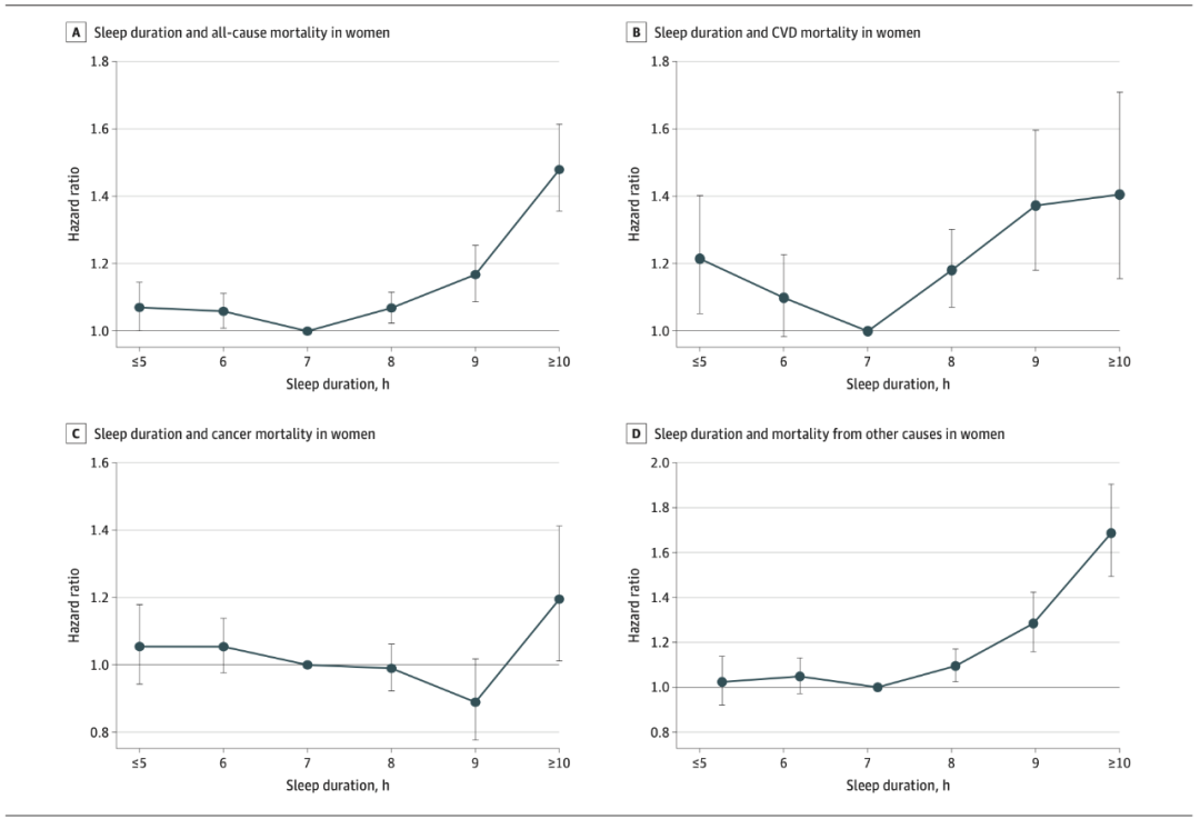
在随访期间,男性和女性中分别有19419例和13768例死亡。在男性和女性中,睡眠长度和全因死亡的关联均为“J”字型。
研究结果显示,在以全因死亡为结局的分析中,性别因素不能改变睡眠长度和全因死亡之间的关联。具体来看,与睡眠长度为7小时相比,其他睡眠长度的女性全因死亡风险均增加;而在男性中,睡眠长度为6小时全因死亡风险未增加,其他睡眠长度组全因死亡风险均增加。
无论在男性还是女性中,与睡眠长度为7小时相比,睡眠长度等于或大于10小时与全因死亡关联最强。男性睡眠长度等于或大于10小时与全因死亡风险增加43%相关;女性睡眠长度等于或大于10小时与全因死亡风险增加55%相关。
至于BMI和年龄分层后的结果,我们可以看到:在大于65岁的男性中,与睡眠长度为7小时相比,睡眠长度为等于或大于10小时,与全因死亡关联非常强,与全因死亡风险增加98%相关;在小于65岁的男性中,睡眠长度为等于或大于10小时,与全因死亡关联稍微减弱,与全因死亡风险增加42%相关。
东亚男性睡眠时间与死亡风险之间的关系
再来看看睡眠长度和心血管疾病相关死亡的关联。
在男性中,与睡眠长度为7小时相比,睡眠长度小于或等于5小时、等于9小时、大于或等于10小时组与心血管疾病相关死亡显著相关,这三种长度分别与心血管疾病相关死亡风险增加35%,17%和59%相关联。
在多因素模型中,男性中,睡眠长度9小时与心血管疾病相关死亡不相关;睡眠长度小于或等于5小时、大于或等于10小时组,与心血管疾病相关死亡相关程度减轻,但仍然显著。
在女性中,其他组(除了睡眠长度为6小时组)与参照组相比,关联的心血管疾病相关死亡风险均增加。女性中,睡眠长度为小于等于5小时,8小时,9小时,和大于等于10小时分别与心血管疾病相关死亡风险增加24%,20%,45%和49%相关联。
东亚女性睡眠时间与死亡风险之间的关系
再来看看睡眠长度和癌症相关死亡的关联。
在男性中,与睡眠长度为7小时相比,睡眠长度为8小时、9小时、大于或等于10小时组与癌症相关死亡相关联,这三种情况分别与癌症相关死亡风险增加8%,10%和19%相关联。在多因素校正模型中,这些关联变得不显著。在女性中,与睡眠长度为7小时相比,睡眠长度大于等于10小时组与癌症相关死亡风险增加23%相关联。 总的来说,这篇研究表明,无论在男性还是女性中,睡眠长度和全因死亡非常明显地相关联。这个结果与之前性别分层的研究相一致。
此外,研究人员还指出,睡眠长度的指南应该考虑年龄、性别进行分层。睡眠长度为7小时,与全因死亡、心血管相关死亡、癌症相关死亡关联最低。睡得过短(小于等于5小时)或睡得过长(大于等于10小时),都应该警惕相关的死亡风险可能增加。 版权申明:原创稿件未经授权不得转载 注:头图来自pexels 参考资料: 【1】《睡眠解决方案》.中国妇女出版社.(美)W·克里斯·温特 【2】《临床睡眠疾病》.人民卫生出版社.Paul R. Carney, MD, DABSM  Richard B. Berry, MD, DABSM  James D. Geyer, MD, DABSM


点亮在看,睡得香香